指紋形成のメカニズムが生物実験とチューリングパターンのシミュレーションにより示された。
皮膚や四肢形成の機構に迫る仰天の研究。
指紋は指先の握力や感度といった微妙な力の調整に重要である。
同じ遺伝子を持った一卵性双生児でも指紋の形が異なり、弓状紋、蹄状紋、渦状紋といった多様なパターンが形成される。
そのため個人の識別やダウン症候群といった先天性疾患の発見にも役立っている。

それにも関わらず指紋のパターンの生物学的メカニズムはほとんどわかっていなかった。
昨年2022年の9900人の大規模遺伝子解析とメタアナリシスにより、胎児の四肢成長に関わる遺伝子を含む43の遺伝子が指紋の形成に関連していることを突き止めた。
しかし遺伝子を突き止めても、同じ遺伝子を持つ双子でも指紋が異なる理由やそれらの43の遺伝子がどのように相互作用しているかは不明であった。
今年2023年2月に発表された研究では、3つの遺伝子の動態をチューリングパターンという数理モデルで表せることを明らかにした。

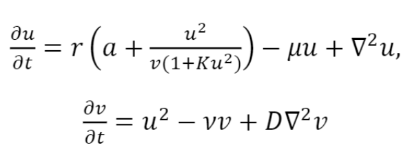
チューリングパターンとは多細胞生物の発生において独特の縞模様が形成される現象で、2つの物質の反応拡散による2式で表すことができる。 本日計算機科学や人工知能研究で有名なアラン・チューリング氏により提唱されたモデルであり、1995年の魚の模様での発見を皮切りに様々な生物で実証されている。
この研究ではわずか3つの遺伝子の組み合わせにより、指紋の複雑なパターンを作れることを示した。 更には同じ遺伝子を持つ双子でも指紋が異なる理由を説明するモデルとなっている。 続きでは今年2023年の研究で明らかにしたことを述べる。

指紋の形成は四肢発生初期の遺伝子の影響を受け、妊娠13週目の一次隆起から始まる。
一次隆起することによりしわができ、妊娠17週目から小さな二次隆起に挟まれることで皮膚表面が波打つようになる。
また隆起することにより、毛を産生する毛包の形成を抑制している。
この研究では組織染色や単一細胞RNA-seqを行い、一次隆起、二次隆起、毛包における遺伝子発現を比較した。
その結果、EDAR、WNT、BMPの3つのシグナル伝達遺伝子が指紋の隆起の形成に関わることを明らかにした。
EDARとWNTは指紋だけでなく様々な上皮組織で増殖を促進・活性化する遺伝子であることが知られている。
BMPは骨を作る因子として有名であり、この研究では毛包形成、つまりは指における毛の形成を抑制することを明らかにした。
これらの活性遺伝子WNTと抑制遺伝子BMPの関係はチューリングパターンのネットワークと合致し、数値シミュレーションでも縞模様が形成できた。
更にEDARによる活性を加えることにより、より太く、より広い間隔の縞模様が形成されることも明らかにした。

そしてこれらの3つの遺伝子発現のタイミング、位置、角度を変えることにより、指紋のパターンである弓状紋、蹄状紋、渦状紋をシミュレーションにより再現することができた。
以上の結果からわずか3つの遺伝子の組み合わせにより、指紋の複雑なパターンを作れることを示した。
今回の研究はマウスでの研究のため、ヒトと比べて小さな皮膚領域での研究となっている。 またBMP以外の抑制因子が関与している可能性についても捨てきれない。 そのためヒトオルガノイドなどでの培養実験での検証が必要となると筆者等は述べている。
【参考文献】
Limb development genes underlie variation in human fingerprint patterns
https://www.cell.com/cell/fulltext/S0092-8674(21)01446-X
A reaction diffusion wave on the skin of the marine angelfish Pomacanthus
https://www.nature.com/articles/376765a0
How fingerprints get their one-of-a-kind swirls
https://www.nature.com/articles/d41586-023-00357-x
Why don’t identical twins have the same fingerprints? New study provides clues
https://www.science.org/content/article/why-don-t-identical-twins-have-same-fingerprints-new-study-provides-clues
【引用素材】 原著論文から
【原著論文】 JD. Glover, et al. “The developmental basis of fingerprint pattern formation and variation” Cell. 2023 Feb 7;S0092-8674(23)00045-4 (CC BY 4.0)
https://www.cell.com/cell/fulltext/S0092-8674(23)00045-4
https://github.com/AndrewLKrause/fingerprint-simulations
【感想】
指紋の形というとても身近なトピックに、生物学的な理由付けを行うというCellらしい重厚な論文でした。
そこでもチューリングパターンという縞模様形成が関わっているのかという感嘆と生物学的実験の結びつけの鮮烈さで、私の心は殴りつけられました。
チューリングパターンは活性因子と抑制因子の2つだけでも縞模様は表現できるため、正直EDARは必要ないかもと思いつつ、数値シミュレーションで指紋の陰影がはっきりさせられるところを見ると理論の重要さを思い知らされますね(原著論文figure 5L)。

筆者が仰られているようにBMPである必然性は特に感じないところはありますね。
BMPは拡散係数が2~3 µm^2/sで、WNTが0.042 µm^2/sと拡散係数の比率は十分な差があり、シミュレーションでも縞模様は形成できていますが。
Dynamics of BMP signaling and distribution during zebrafish dorsal-ventral patterning
https://elifesciences.org/articles/25861
Quantitative analyses reveal extracellular dynamics of Wnt ligands in Xenopus embryos
https://elifesciences.org/articles/55108
【元ツイート】
https://twitter.com/takatoh_life/status/1627239228143996929



